Where to Find Up-to-date yFiles Information

This page is from the outdated yFiles for Java 2.13 documentation. You can find the most up-to-date documentation for all yFiles products on the yFiles documentation overview page.

Please see the following links for more information about the yFiles product family of diagramming programming libraries and corresponding yFiles products for modern web apps, for cross-platform Java(FX) applications, and for applications for the Microsoft .NET environment.

More about the yFiles product family Close X

Hierarchical Layout Style

This section presents the hierarchical layout style.

About the Style

The hierarchical layout style aims to highlight the main direction or flow within a directed graph. The nodes of a graph are placed in hierarchically arranged layers such that the (majority of) edges of the graph show the same overall orientation, for example, top-to-bottom. Additionally, the ordering of the nodes within each layer is chosen in such a way that the number of edge crossings is small.

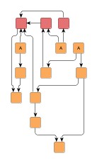
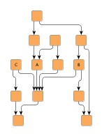
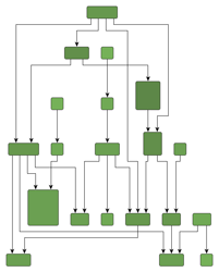
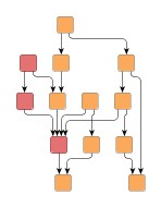
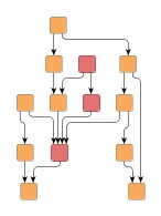
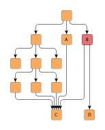
Figure 5.31. Samples of the hierarchical layout style

Samples of the hierarchical layout style
Samples of the hierarchical layout style
Samples of the hierarchical layout style
Hierarchical layout with polyline edge routing... ... and with orthogonal edge routing. ... of a grouped graph.

Note that in an acyclic graph, it is always possible that all edges have the same overall orientation. In a graph that contains cyclic dependencies between nodes, they are automatically detected and resolved.

Figure 5.31, “Samples of the hierarchical layout style” shows several hierarchical layouts with top-to-bottom orientation. Note that the hierarchical layout style can be combined with polyline, orthogonal, and octilinear edge routing. Also, layout of grouped graphs is naturally covered by the hierarchical layout style, too.

The layout algorithm provided by the yFiles diagramming library for the hierarchical layout style facilitates convenient automatic generation of high-quality layouts. It supports a variety of features that influence many aspects in the layout process, assists with different predefined behaviors to combine and choose from, and enables flexible customization of the layout process if needed.

Terminology

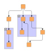
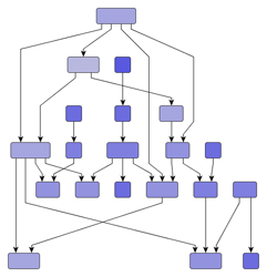
The hierarchically arranged layers that are typical for this layout style (hence its name) are illustrated in Figure 5.32, “Layers in the hierarchical layout style”. With top-to-bottom main direction, layers stretch horizontally and are ordered from top to bottom. Within each layer, the nodes are placed vertically and are ordered from left to right.

Figure 5.32. Layers in the hierarchical layout style

Layers in the hierarchical layout style

The node order within a layer is also called their sequence. The layer ordering in a diagram is also referred to as the layering. Generally, the overall orientation of the edges is the same as the main direction of the layout, and is also the direction of the layering. In other words, if the main direction of the layout is right-to-left, for example, then also the layering is from right to left.

The terms layering and sequence directly stem from the technical operation of a hierarchical layout algorithm where the layout is generated in a three-phase process, basically:

  1. Determine the layering for the nodes of the graph.
  2. Find a node order (sequence) within each layer.
  3. Assign actual coordinates to the nodes and route the edges. This phase is commonly referred to as the drawing phase.

Application Areas

The hierarchical layout style is ideal for many application areas where it is crucial that dependency relations between entities are clearly visualized. In particular, if such relations form a chain of dependencies between entities, this layout style nicely exhibits them. Generally, whenever the direction of information flow matters, the hierarchical layout style is an invaluable tool.

Application areas that this layout style is suited for include, for example:

  • Workflow visualization
  • Software engineering (e.g., call graph visualization or activity diagrams)
  • Process modeling
  • Database modeling (e.g., Entity-Relationship diagrams)
  • Bioinformatics (e.g., biochemical pathways)
  • Network management
  • Decision diagrams

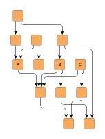
The following figures show sample diagrams from different application areas.

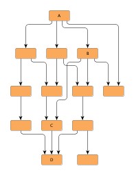
Figure 5.33. Samples of the hierarchical layout style

Samples of the hierarchical layout style
Samples of the hierarchical layout style
Samples of the hierarchical layout style
Entity-Relationship diagram. Displays pathways of the brain, layered by stages of visual processing. Decision diagram.

Relevant Classes

Table 5.25, “Relevant classes for this style” lists the relevant classes for the hierarchical layout style.

Table 5.25. Relevant classes for this style

Phase Classname Description
  IncrementalHierarchicLayouter Main algorithm. See the description below.
NodeLayoutDescriptor Provides node-related as well as layer-related layout options. For example, preferred minimum distances between adjacent nodes within a layer. See Related Classes.
EdgeLayoutDescriptor Provides edge-related layout options. For example, different edge routing styles for different edge types. See Related Classes.
IncrementalHintsFactory Creates so-called hint objects which are essential for incremental hierarchical layout. See Incremental Layout Mode.
Layering Layerer An implementation of this interface is responsible for assigning the nodes of a graph to layers in a hierarchical layout. In the section called “Layer Assignment Options” available layering strategies for non-incremental layout calculation are presented.
LayerConstraintFactory Enables convenient customization of the layering process where the nodes of a graph are assigned to layers in a hierarchical layout. See Constrained Layer Assignment.
Sequence DefaultLayerSequencer Used to determine the order of nodes within a layer.
SequenceConstraintFactory Enables custom node order assignment within layers. See Node Order Options.
Drawing SimplexNodePlacer This node placer is responsible for assigning each node within a layer its coordinate with respect to the node sequence. See also the description of SimplexNodePlacer.
DefaultDrawingDistanceCalculator Is used by the NodePlacer to determine distances between graph elements within a layer.

The classes that are used in the layering phase provide many predefined so-called layering strategies that enable a variety of different layout results. Instead of letting the algorithm compute the layering, some strategies also support prescribing the layering completely. Additionally, in cases where only some nodes need to fulfill specific layering requirements, the LayerConstraintFactory class can be used.

Similarly, in the sequence phase, the node orders within the layers, which are computed by DefaultLayerSequencer, can be customized via the services provided by the SequenceConstraintFactory class.

Besides IncrementalHierarchicLayouter, the yFiles diagramming library includes two legacy layout algorithms for the hierarchical layout style, namely, classes HierarchicLayouter and HierarchicGroupLayouter. IHL supersedes both these classes and adds additional features like sophisticated swimlane layout support or incremental layout support. See also the section called “Related Layout Algorithms”.

Class IncrementalHierarchicLayouter

Class IncrementalHierarchicLayouter is a hierarchical layout provider that supports complete re-layout as well as incremental hierarchical graph layout of both flat and grouped graphs. The non-incremental hierarchical layout which is provided by this class is also referred to as "layout from scratch" in the following.

IncrementalHierarchicLayouter offers only few options that are directly accessible for configuration.

Layout Options

The setLayoutMode(byte) method determines the general layout mode of IncrementalHierarchicLayouter. It uses one of the constants:

LAYOUT_MODE_FROM_SCRATCH
Description Sets the layout algorithm to recompute the entire layout from scratch, i.e., a complete re-layout is started. Layout from scratch is the default setting for the "Layout Mode" feature. See Non-incremental Layout Mode.
LAYOUT_MODE_INCREMENTAL
Description Sets the layout algorithm to incremental mode, i.e., elements that are marked for incremental processing will be inserted into the already calculated layout of the remaining part of the graph in an optimal manner. See Incremental Layout Mode.
Layout Orientation
API
void setLayoutOrientation(byte orientation)
Description

Determines the main direction or flow, i.e., the overall orientation for the edges in a hierarchical layout. This method is inherited from CanonicMultiStageLayouter, the direct superclass of IHL. The layout algorithm tries to arrange nodes in such a way that all edges point in the main direction.

By default, the overall orientation for the edges will be from top to bottom. The other three layout directions can be set using the constants defined in interface LayoutOrientation. Example 5.24, “Setting a layout orientation for the hierarchical layout style” shows how to set the layout direction.

Note

The documentation for the other layout options assumes that this default orientation is being used.

Example 5.24. Setting a layout orientation for the hierarchical layout style

IncrementalHierarchicLayouter ihl = new IncrementalHierarchicLayouter();
// Use left-to-right main layout direction.
ihl.setLayoutOrientation(LayoutOrientation.LEFT_TO_RIGHT);

Figure 5.34, “Layout orientation sample” shows one of the sample layouts for the hierarchical layout style with layout orientation left to right.

Figure 5.34. Layout orientation sample

Layout orientation sample
Hierarchical layout with layout orientation left to right.
Maximal Duration
API
void setMaximalDuration(long duration)
Description Sets a (soft) time limit for IncrementalHierarchicLayouter.

Drawing Style Options

IncrementalHierarchicLayouter allows to control general drawing options like, e.g., edge routing styles or minimum distances between graph elements.

Options which affect edge routing:

Orthogonal Edge Routing
API
void setOrthogonallyRouted(boolean orthogonal)
Description Enables/Disables orthogonal edge routing (default is disabled)
Backloop Routing
API
void setBackloopRoutingEnabled(boolean backloopRoutingEnabled)
Description Enables/Disables backloop routing (default is disabled)

Note that backloop routing is ignored for edges with recursive edge routing styles directed and undirected, including edges where source or target are not inside a group node.

IncrementalHierarchicLayouter supports three edge routing styles:

  • polyline (the default)
  • orthogonal
  • octilinear (a variation of the orthogonal routing style)

The following figure shows the different routing styles side by side. Note that using the above setter method, only the former two styles can be configured. Octilinear edge routing can be enabled using a corresponding EdgeLayoutDescriptor, see also the section called “Related Classes”.

Figure 5.35. Edge routing styles determined by the EdgeLayoutDescriptor

Polyline edge routing.
Orthogonal edge routing.
Octilinear edge routing.
Polyline edge routing. Orthogonal edge routing (with rounded bends). Octilinear edge routing.

Example 5.25. Enabling orthogonal edge routing

// 'ihl' is of type y.layout.hierarchic.IncrementalHierarchicLayouter.

// Switching IHL to orthogonal edge routing.
ihl.setOrthogonallyRouted(true);

IncrementalHierarchicLayouter places the nodes in a way that reflects the main flow of a diagram, i.e. in a top-to-bottom layout most edges will connect to targets which are placed below their source nodes. However, it is not always possible to achieve this for all edges in a diagram. Edges which connect to targets which are located above their source nodes are referred to as "backloop edges". By default these edges exit their source nodes at the top border and enter their targets at the bottom to keep the paths short. This may reduce the readability of a hierarchical layout as shown in the left diagram of Figure 5.36, “Backloop Routing”.

Setting backloop routing enabled will force backloop edges to exit at the bottom and enter at the top of their source and target, respectively, emphasizing the main direction of the diagram. Backloop routing is enabled in the right diagram of Figure 5.36, “Backloop Routing”.

Figure 5.36. Backloop Routing

Backloop Routing Disabled
Backloop Routing Enabled
Backloop Routing disabled. Backloop Routing enabled.

Options which affect node placement:

Minimum Layer Distance
API
void setMinimumLayerDistance(double minimumDistance)
Description The minimum distance between adjacent layers
Node to Node Distance
API
void setNodeToNodeDistance(double distance)
Description The minimum distance between two nodes in the same layer
Edge to Edge Distance
API
void setEdgeToEdgeDistance(double distance)
Description The minimum distance between two edges in the same layer
Node to Edge Distance
API
void setNodeToEdgeDistance(double distance)
Description The minimum distance between a node and a non-adjacent edge in the same layer

Figure 5.37, “Distance settings in a hierarchical layout” illustrates where the settings for the drawing options take effect in a diagram.

Figure 5.37. Distance settings in a hierarchical layout

Distance settings in a hierarchical layout.

Note that the distance settings between edges and also between edges and nodes only take effect on edges that span at least one layer in the diagram. Also, keep in mind that all distances are only minimum distances, i.e., the layout algorithm may use larger distances than specified in order to achieve an aesthetic result.

Further drawing style options can be specified by means of the layout descriptor classes for nodes and edges. One instance of each class is held by IHL to store and retrieve default values for drawing style options, like, e.g., preferred minimum distances between graph elements.

IncrementalHierarchicLayouter provides access to the default NodeLayoutDescriptor and EdgeLayoutDescriptor instances:

In addition to the instances held directly by IHL, layout descriptors can also be associated with single graph elements in order to specify individual settings for them. Setting individual descriptors for nodes or edges is done through data providers that are bound to the graph. See Related Classes.

Non-incremental Layout Mode

Upon creation, IHL is in non-incremental layout mode by default, i.e., it recomputes the entire layout of a given graph. This is in accordance with the behavior of the other yFiles major layout algorithms. Note that the non-incremental hierarchical layout is also referred to as "layout from scratch." Example 5.26, “Switching to complete re-layout” shows how to explicitly switch IHL to non-incremental layout mode.

Example 5.26. Switching to complete re-layout

// 'ihl' is of type y.layout.hierarchic.IncrementalHierarchicLayouter.

// Switching IHL to do a complete re-layout of a graph.
ihl.setLayoutMode(IncrementalHierarchicLayouter.LAYOUT_MODE_FROM_SCRATCH);

In the general three-phase process to generate a hierarchical layout, the first phase, that assigns the nodes of a graph to different layers, ...

The second phase, which is responsible for finding a good ordering of the nodes in each layer, ...

  • knows of a similar scheme to achieve custom sequencing requirements that are not covered by the default behavior.

Layer Assignment Options

IncrementalHierarchicLayouter assigns the nodes of a graph to separate layers using a Layerer implementation. Layers are ordered and, assuming a top-to-bottom orientation for the main flow, are arranged vertically from top to bottom (see also Figure 5.32, “Layers in the hierarchical layout style”).

The layer order is a 1-based index for the layers that at the same time denotes the so-called rank of all nodes assigned to a layer. Note that the rank of a node is important in conjunction with some of the Layerer implementations.

From Scratch Layering Strategy

The layering strategy in non-incremental layout mode can be set using the setFromScratchLayeringStrategy(byte) method. According to the layering strategy constant, the actual Layerer implementation is chosen. Internally, IHL also sets up any specific configuration of the Layerer if necessary.

The following layering strategy constants are available:

LAYERING_STRATEGY_HIERARCHICAL_TOPMOST
Description A simple hierarchical layering variant. All nodes without incoming edges (indegree zero) will be assigned to the topmost layer of the layout. The number of separate layers will be as small as possible.

Uses TopologicalLayerer with ranking policy NO_RERANKING.

LAYERING_STRATEGY_HIERARCHICAL_OPTIMAL
Description An optimal hierarchical layering strategy. The layer distance of an edge is the absolute difference between the layer numbers (ranks) of its source and target node. Layer assignment will be done in such a way that the overall sum of the layer distances of all edges in the layout is minimal.

Uses WeightedLayerer.

LAYERING_STRATEGY_HIERARCHICAL_TIGHT_TREE
Description A good heuristic that approximates the layering done by "Hierarchical - Optimal."

Uses TopologicalLayerer with ranking policy TIGHT_TREE.

LAYERING_STRATEGY_HIERARCHICAL_DOWNSHIFT
Description An even faster heuristic that approximates the ranking done by "Hierarchical - Optimal" by down-shifting some nodes in the layering. The quality is usually worse than the one produced by "Tight Tree Heuristic."

Uses TopologicalLayerer with ranking policy DOWN_SHIFT.

LAYERING_STRATEGY_BFS
Description Layering based on a breadth-first search (BFS). All edges will span at most one layer in the resulting drawing. Edges between nodes that belong to the same layer are possible.

To specify nodes that should be placed into the first layer, a data provider holding such supplemental layout data can be bound to the graph. The data provider is expected to be registered with the graph using key CORE_NODES. Note that in the absence of such a data provider all nodes that have no incoming edges (indegree zero) are placed into the first layer.

Uses BFSLayerer.

LAYERING_STRATEGY_FROM_SKETCH
Description Layer assignment strategy that uses the initial y coordinates of the nodes to determine a layering. It tries to find a layering that is similar to the one in the input graph. When this layering strategy is used, the layout algorithm may place nodes in the same layer, even though they are connected by an edge. These inner layer edges are always routed in an orthogonal style.

Uses AsIsLayerer.

LAYERING_STRATEGY_USER_DEFINED
Description The ranks of the nodes will be given by the user.

To specify the ranks, a data provider holding such supplemental layout data must be bound to the graph. The data provider is expected to be registered with the graph using key LAYER_ID_KEY.

Uses GivenLayersLayerer.

Except when using one of the latter three layering strategies, the nodes of a graph are assigned to layers such that as much as possible edges of the graph will have the same overall orientation. With the "From Sketch" and "User-defined Layering" strategies (last and second-to-last strategy constants), the layering is prescribed by some external means and there cannot be much said about the direction of the edges.

Using either the "From Sketch" or "User-defined Layering" strategies, it is possible to specify the exact layering for all nodes of a graph. In cases where only a few nodes need to fulfill specific layering requirements, the constrained layer assignment scheme is ideally suited.

Node Order Options

In a hierarchical layout, the ordering of the nodes within a layer determines the number of edge crossings in the resulting layout. By default, IHL uses class DefaultLayerSequencer for determining this node order.

The sequencing that DefaultLayerSequencer generates can be conveniently customized using the support for constrained node sequencing.

Incremental Layout Mode

Upon creation, IHL is in non-incremental layout mode by default, i.e., it recomputes the entire layout of a given graph. The other layout mode, namely incremental layout, needs to be turned on explicitly.

Incremental layout is closely related to "layout from sketch," where a given arrangement of nodes is taken as the starting point for a layout calculation and also as a specification for the calculation's desired outcome. Compared to a complete re-layout of a graph, the main advantage of incremental layout is that distinct parts of a graph can be rearranged while the remainder of the graph, which defines the "sketch," is not, or only slightly, changed.

Carefully note that the layout algorithm may move graph elements that are part of the sketch in order to optimally insert any incremental graph elements. In other words, incremental layout does not guarantee that any non-incremental parts of a graph stay exactly as they were. However, they will keep their relative position.

Example 5.27, “Switching to incremental layout” shows how to switch IHL to incremental layout mode.

Example 5.27. Switching to incremental layout

// 'ihl' is of type y.layout.hierarchic.IncrementalHierarchicLayouter.

// Switching IHL to do incremental layout of a graph.
ihl.setLayoutMode(IncrementalHierarchicLayouter.LAYOUT_MODE_INCREMENTAL);

Additionally, any graph elements that shall be processed using incremental semantics need to be annotated appropriately so that the algorithm is able to discern them correctly from the parts that define the sketch. Annotation of the incremental parts of a graph is achieved by means of a data provider. See the section called “Specifying Hints”.

Use Cases

Incremental layout has two major use cases, which both involve "layout from sketch:"

  • Interactive creation of a graph structure where the layout calculation is performed dynamically with each newly inserted graph element.
  • Subsequent improvement of distinct parts from an already existing graph layout, where the remainder of the layout stays mainly unchanged.

Both these use cases are illustrated below.

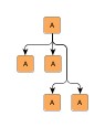
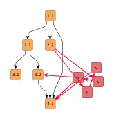
Figure 5.38, “Sequence of incremental layouts” shows a sequence of incremental layouts generated by class IncrementalHierarchicLayouter. Starting with a given graph, new graph elements are inserted optimally into the existing drawing from the step before (which defines the sketch). Note the emphasis for newly added elements.

Figure 5.38. Sequence of incremental layouts

Sequence of incremental layouts
Sequence of incremental layouts
Sequence of incremental layouts
Sequence of incremental layouts

The second major use case for incremental layout, the optimization of distinct parts from an existing hierarchical layout is shown in Figure 5.39, “Incremental layout used for optimization”. There, an entire subgraph is calculated anew and optimally placed into the given drawing that defines the sketch.

Figure 5.39. Incremental layout used for optimization

Incremental layout used for optimization
Incremental layout used for optimization

Both use cases are handled by annotating the "new" graph elements by means of so-called hint objects which are used by the algorithm during layout calculation in incremental mode. The hint object for a graph element that shall be processed using incremental semantics is specified through a data provider that is bound to the graph. The data provider is expected to be registered with the graph using key INCREMENTAL_HINTS_DPKEY.

Specifying Hints

Calculation of incremental hierarchical layouts heavily relies on the services of a so-called "hint factory." A hint factory is responsible for creating hint objects for both nodes and edges. These objects are then used by the incremental layout algorithm to optimally:

  • insert nodes into specified layers of the existing drawing
  • place nodes into suitable layers of the existing drawing
  • place nodes into suitable layers of the existing drawing with respect to their current coordinates (either both directions, or confined to only one direction)
  • route edges

When inserting nodes or routing edges according to their hint, nodes and edges from the graph that have no hint object associated retain their original relative order both within layers as well as from layer to layer.

Class IncrementalHierarchicLayouter has a getter method that returns a hint factory object of type IncrementalHintsFactory. Code that shows the usage of a hint factory is presented in Example 5.28, “Getting and using a hint factory”.

Example 5.28. Getting and using a hint factory

// 'graph' is of type y.layout.LayoutGraph. 

// Create the incremental layout. 
IncrementalHierarchicLayouter ihl = new IncrementalHierarchicLayouter();
    
// Create a map to store the hints for the incremental layout mechanism. 
DataMap hintMap = Maps.createHashedDataMap();
graph.addDataProvider(IncrementalHierarchicLayouter.INCREMENTAL_HINTS_DPKEY, 
                      hintMap);

// Get the hint factory from the incremental layout algorithm. 
IncrementalHintsFactory hintsFactory = ihl.createIncrementalHintsFactory();

// Get a NodeList with those nodes that should be processed using incremental 
// layout semantics. 
NodeList incNL = myGetIncrementalNodeList();

// Associate the incremental nodes with hints from the hint factory. 
for (NodeCursor nc = incNL.nodes(); nc.ok(); nc.next()) {
  hintMap.set(nc.node(), hintsFactory.createLayerIncrementallyHint(nc.node()));
}

// Now, set incremental mode and invoke layout calculation. 
ihl.setLayoutMode(IncrementalHierarchicLayouter.LAYOUT_MODE_INCREMENTAL);
new BufferedLayouter(ihl).calcLayout(graph);

The following table lists the data provider look-up keys that are recognized by IHL in conjunction with incremental layout.

Table 5.26. Data provider look-up keys

Key Element Type Value Type Description
INCREMENTAL_HINTS_DPKEY Node, Edge Object For each node or edge that shall be added incrementally a hint object that marks the respective graph element to be inserted into the existing hierarchical layout in an optimal manner. The hint object is created by a hint factory, for example the one that is returned by method createIncrementalHintsFactory().

Important

The data provider that is registered using the look-up key INCREMENTAL_HINTS_DPKEY holds data for both types of graph elements. Hence, neither NodeMap nor EdgeMap implementations can be used as the basis for this data provider.

An alternative basis for the data provider would be, e.g., a DataMap as returned by method createHashedDataMap(), or any custom DataProvider implementation that is not restricted to one type of graph element.

Constrained Layer Assignment

IncrementalHierarchicLayouter supports constrained layer assignment for from-scratch layout mode as well as for incrementally inserted graph elements in incremental layout mode.

To this end, IHL makes available an implementation of interface LayerConstraintFactory that enables user-defined constrained layering. Nodes can be restricted to be placed either

  • absolute, i.e., into the first or last layer of the layout, or
  • relative to a given reference node into the same layer, a layer preceding that of the reference node, or a layer following that of the reference node.

The remaining nodes, that have no constraints defined, are processed using the layerer that is set with IHL.

Note that relative layer constraints in incremental layout mode can also be specified between nodes that belong to the sketch and nodes that shall be processed using incremental semantics. Relative constraints between nodes that both belong to the sketch are ignored.

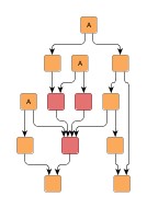
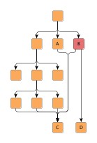
Figure 5.40, “Constrained hierarchical layering” shows a resulting hierarchical layout where nodes with an absolute constraint specified for them are placed in the topmost layer (note the emphasis on these nodes). Normally, i.e., when no constraints are specified, these nodes are placed in the very center of the graph as can be observed in the original hierarchical layout.

Figure 5.40. Constrained hierarchical layering

Hierarchical layout.
Constraint hierarchical layout.
Usual hierarchical layout (i.e. without taking constraints into account). Resulting hierarchical layout where the constrained nodes are placed in the topmost layer.

Example 5.29, “Creating the constraints factory” shows how the default constraints factory can be retrieved from IHL. Note that the constraints factory is specifically created for the given graph and has to be disposed of when it is no longer needed.

Example 5.29. Creating the constraints factory

// 'graph' is of type y.base.Graph.

IncrementalHierarchicLayouter ihl = new IncrementalHierarchicLayouter();
// Create a constraint factory for the graph.
LayerConstraintFactory lcf = ihl.createLayerConstraintFactory(graph);

The constraint factory provides the following methods to define both absolute and relative layer constraints for nodes.

The LayerConstraint instance that is returned by each of these methods can be used to specify the priority value of the respective constraint. A constraint's priority is a positive integral value that is used to resolve conflicting constraint definitions by not considering low-priority constraints.

Using the services of the default LayerConstraintFactory implementation in a hierarchical layout and defining constraints for the nodes of a graph is demonstrated in the tutorial demo application LayerConstraintsDemo.java.

Constrained Node Sequencing

Constrained node sequencing enables user-defined ordering of nodes within a given layer. Nodes can be restricted to be placed either

  • absolute, i.e., at the beginning or at the end of their layer, or
  • relative to a given reference node before it or after it.

Any remaining nodes that have no constraints defined are placed by the algorithm at optimal positions within their respective layer. In particular, this means that for a set of nodes {A, B, C} within a layer where relative constraints specify a sequence like so: {A before B, B before C}, other nodes from the layer might still intermit the sequence in the resulting layout.

Figure 5.41, “Constrained node sequencing” shows resulting hierarchical layouts where nodes are placed according to different sequence constraints.

The first before/after pair shows a result where nodes with an absolute constraint specified for them are placed at the beginning of their respective layers (note the emphasis on these nodes). Normally, i.e., when no constraints are specified, these nodes are placed in the very center of the graph as can be observed in the original hierarchical layout.

The other pair depicts the result of using relative constraints to achieve a specified sequence for some nodes within their layer.

Figure 5.41. Constrained node sequencing

Hierarchical layout.
Constrained hierarchical layout.
Usual hierarchical layout (i.e. without taking constraints into account). Resulting hierarchical layout where the constrained nodes are placed at the beginning of their respective layers.
Hierarchical layout.
Constrained hierarchical layout.
Usual hierarchical layout (i.e. without taking constraints into account). Resulting hierarchical layout where the constrained nodes are placed lexicographically ordered within their layer.

Class IncrementalHierarchicLayouter makes available an implementation of interface SequenceConstraintFactory that conveniently allows to define both absolute and relative node order constraints. Example 5.30, “Creating the constraints factory” shows how the default constraints factory can be retrieved from IHL. Note that the constraints factory is specifically created for the given graph and has to be disposed of when it is no longer needed.

Example 5.30. Creating the constraints factory

// 'graph' is of type y.layout.LayoutGraph.

IncrementalHierarchicLayouter ihl = new IncrementalHierarchicLayouter();
// Create a constraint factory for the graph.
SequenceConstraintFactory scf = ihl.createSequenceConstraintFactory(graph);

The SequenceConstraint factory provides the following methods to specify node order constraints. Using the services of the default SequenceConstraintFactory implementation in a hierarchical layout and defining constraints for the nodes of a graph is demonstrated in the tutorial demo application SequenceConstraintsDemo.java.

Grid Placement

IncrementalHierarchicLayouter provides support for placing nodes on grid coordinates. Grid placement is enabled by means of the following method, which at the same time also determines the spacing between grid coordinates:

void setGridSpacing(double gridSpacing)
Description Setting a value strictly greater than 0.0 enables grid placement and determines the distance between grid coordinates. The value is used both in vertical and in horizontal direction.

The graph's edges will also be routed on the grid, i.e. their bends are placed on grid coordinates, if possible. Placing bends on the grid isn't always possible depending on other configurations, for example:

  • the configured edge routing style
  • the port coordinates of an edge end when there are strong port constraints set
  • the port assignment policy at a node, which may place edge ends on non-grid coordinates (e.g., PORT_ASSIGNMENT_DEFAULT, PORT_ASSIGNMENT_ON_SUBGRID)

The following figures show the results of grid placement with the different edge routing styles supported by IncrementalHierarchicLayouter. Observe how the center of each node is placed on grid coordinates and edge paths run on grid lines where possible. All figures use a grid spacing of 10.0 [pixel].

Figure 5.42. Edge routing styles with enabled grid placement

Edge routing styles with enabled grid placement
Edge routing styles with enabled grid placement
Edge routing styles with enabled grid placement
Orthogonal edge routing, ... octilinear, ... and polyline edge routing style.

Different grid spacing values can be used to achieve an effect on a graph similar to a scaling transformation:

Figure 5.43. Resulting grid placements of the same graph with different grid spacings

Resulting grid placements of the same graph with different grid spacings
Resulting grid placements of the same graph with different grid spacings
Grid spacing = 10.0 Grid spacing = 30.0

By default, nodes will be placed on the grid with their center. However, it is possible to define an alternative reference point for each node with which it is placed instead. For example, if the upper left corner of a node should be on grid coordinates.

With the following method of class NodeLayoutDescriptor the reference point for a node can be set:

void setGridReference(YPoint referencePoint)
Description Determines a node's reference point, which shall be placed on grid coordinates. By default, a node's center is used as its reference point.

Note that non-empty group nodes will always be placed such that their borders are on grid lines. They are not affected by reference point configuration.

Tip

When using the "Layer Alignment" property of class NodeLayoutDescriptor to top-align (bottom-align) all nodes of a layer, also adjust the reference points of the nodes to their top (bottom) for best results in conjunction with grid placement.

To handle the edges of a graph, IncrementalHierarchicLayouter supports different port assignment policies in conjunction with grid placement. The policies determine how the edges at each side of a node will be distributed along the respective side.

The setPortAssignment(byte) method in class NodeLayoutDescriptor sets the port assignment policy for a given node. The following policy constants are available:

PORT_ASSIGNMENT_DEFAULT
Description Distributes the edges on each node side evenly without considering the grid. This is the default setting that is also used when no grid is specified.
PORT_ASSIGNMENT_ON_GRID
Description

Distributes the edges on each node side on grid lines. If there are less grid lines than there are edges at a side, multiple edges may connect at the same location.

When the node is placed on the grid with a reference point on its border, it is possible that there is no grid line available at the node's side. In that case, all edges at that node side will be centered at the side.

PORT_ASSIGNMENT_ON_SUBGRID
Description Distributes the edges on each node side on grid lines. If there are less grid lines than there are edges at a side, the grid will be subdivided until there is at least one grid line per edge available.

The following figures show the different port assignment policies with the same graph:

Figure 5.44. Different port assignment policies with grid placement

Different port assignment policies with grid placement
Different port assignment policies with grid placement
Different port assignment policies with grid placement
PORT_ASSIGNMENT_DEFAULT PORT_ASSIGNMENT_ON_GRID PORT_ASSIGNMENT_ON_SUBGRID

See also the description of the NodeLayoutDescriptor class in Related Classes which provides the methods for setting individual reference points and configuring port assignment policies.

Note

The grid placement support of IncrementalHierarchicLayouter does not work well with exact layer coordinate hints or exact sequence coordinate hints.

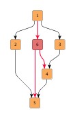
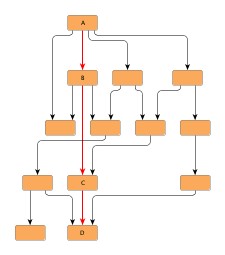
Emphasizing Critical Paths

IncrementalHierarchicLayouter provides functionality that allows to align nodes that are part of so-called critical paths. This feature can be used to emphasize relevant edge paths in a diagram.

Figure 5.45. Alignment of nodes of a critical path

Alignment of nodes of a critical path
Alignment of nodes of a critical path
Usual hierarchical layout (i.e. without taking critical paths into account). Resulting hierarchical layout where the nodes of a critical path are aligned.

A critical path in a graph is unambiguously defined by its edges. By means of a data provider that is bound to the graph using the look-up key CRITICAL_EDGE_DPKEY, each edge of a critical path is assigned a positive, non-zero integral value. The value denotes that an edge is part of a critical path. It also serves to define the priority of the edge, respectively the priority of the critical path itself, if edges from different critical paths connect to a common node. Then, the edge with the highest priority determines the actual nodes to align.

Tutorial demo application CriticalPathDemo.java presents the necessary setup for emphasizing critical paths.

The following table lists the data provider look-up keys that are recognized by IHL in conjunction with alignment of nodes of critical paths.

Table 5.27. Data provider look-up keys

Key Element Type Value Type Description
CRITICAL_EDGE_DPKEY Edge int For each edge of a critical path a positive, non-zero integral value that indicates the priority of the edge/the critical path.

Advanced Layout Concepts

Class IncrementalHierarchicLayouter supports:

Except the top two, all of these advanced features are observed as soon as there are data providers registered with a graph using appropriate look-up keys.

Integrated Labeling

Integrated labeling is one of the two scenarios for placing the labels of a graph. It means the support provided by IHL for finding optimal placements for edge labels such that there are no overlaps of edge labels with each other or with graph elements.

Integrated labeling can be enabled or disabled using the following setter method:

boolean isIntegratedEdgeLabelingEnabled()
void setIntegratedEdgeLabelingEnabled(boolean enabled)
Description Determines whether integrated labeling is enabled.

The before/after pair in Figure 5.46, “Integrated edge labeling” shows the result of a hierarchical layout with integrated edge labeling enabled.

Figure 5.46. Integrated edge labeling

Edge labels not placed.
Edge labels placed optimally.
Original graph with edge labels. Resulting hierarchical layout where the edge labels have been placed optimally.

Tip

Optimal label placement with integrated labeling can be achieved using FreeEdgeLabelModel as the label model for the edges. As explained in the section called “Label Models”, this edge label model is ideally suited in combination with integrated labeling and yields the best match for a label location that is computed by IHL.

Node Label Awareness

IncrementalHierarchicLayouter provides support for node label-aware hierarchical layout. Node labels do not need to be placed, but instead their size needs to be considered for the placement, respectively the routing, of adjacent graph elements. Taking node labels into consideration during layout calculation guarantees that they will not overlap nodes in the diagram.

Consider Node Labels
API
void setConsiderNodeLabelsEnabled(boolean enabled)
Description Enables node label-aware layout calculation.

See also the description of the NodeLayoutDescriptor class in Related Classes which provides the support for node label handling.

Port Constraints

IHL supports both weak port constraints as well as strong port constraints that are specified for the edges of a graph (more precisely, the edge ends). The setup of port constraints is presented in the section called “Port Constraints”.

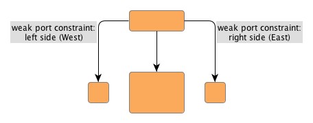
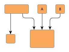
Using weak port constraints for the ends of an edge, it is possible to specify at which side of the source node or target node, respectively, an edge path must connect. Figure 5.47, “Constraint on which side edges should connect to nodes” shows the resulting hierarchical layout of a graph where some edges are set up having weak port constraints.

Figure 5.47. Constraint on which side edges should connect to nodes

Constraint on which side edges should connect to nodes
Constraint on which side edges should connect to nodes
Usual hierarchical layout (i.e. without taking port constraints into account). Resulting hierarchical layout with weak port constraints.

Using strong port constraints, it is possible to specify the side of the node at which an edge must connect, and additionally also the exact position of the port. Figure 5.48, “Constraint at which exact points edges should connect to nodes” shows the resulting hierarchical layout of a graph where some edges are set up having strong port constraints.

Figure 5.48. Constraint at which exact points edges should connect to nodes

Constraint at which exact points edges should connect to nodes
Constraint at which exact points edges should connect to nodes
Usual hierarchical layout (i.e. without taking port constraints into account). Resulting hierarchical layout with strong port constraints.

Carefully observe how the nodes A and B change their position in the resulting hierarchical layout from the figure above. This is due to the strong port constraints specified for the edge ends at the common target node, which would result in an edge crossing with the original node order.

Both weak port constraints and strong port constraints can be mixed easily in the drawing.

The following table lists the data provider look-up keys that are recognized by IHL in conjunction with port constraints.

Table 5.28. Data provider look-up keys

Key Element Type Value Type Description
SOURCE_PORT_CONSTRAINT_KEY Edge PortConstraint For each edge a PortConstraint object encoding its source end's port constraint.
TARGET_PORT_CONSTRAINT_KEY Edge PortConstraint For each edge a PortConstraint object encoding its target end's port constraint.

Port Candidates

In addition to the support provided for port constraints, IHL also supports the concept of port candidates. Both aspects, i.e., matching port candidates as well as modeling enhanced port constraints are supported.

For the matching of port candidates, the set of allowed anchor locations for edge ends at the nodes of a graph are retrieved from a data provider that is bound to the graph using the look-up key NODE_DP_KEY. The subset of desired anchor locations where the source ports and target ports of edges like to connect to are retrieved from data providers that are bound to the graph using the look-up keys SOURCE_PCLIST_DPKEY and TARGET_PCLIST_DPKEY, respectively.

The example in Figure 5.49, “Using port candidates to control connection points” demonstrates the use of port candidates to distribute edges at defined connection points: one port candidate at each corner of the diamond node allows one edge to connect. Additional candidates at the top and bottom allow edges to connect at these points when all other candidates are already occupied. These additional candidates are associated with a higher cost to make sure they will be only used after all other candidates are occupied.

See the section called “Port Candidates” for a detailed description of the port candidates concept.

Figure 5.49. Using port candidates to control connection points

Using port candidates to control connection points
Using port candidates to control connection points
Using port candidates to control connection points
Incoming edges connect at the top, the first outgoing edge at the bottom... ... more outgoing edges occupy the right and left corners... ... when all corners are occupied, the additional edges connect at the bottom.

For modeling enhanced port constraints, the set of possible port candidates for the edges of a graph are retrieved from data providers that are bound to the graph using the look-up keys SOURCE_PCLIST_DPKEY and TARGET_PCLIST_DPKEY, respectively.

The following table lists the data provider look-up keys that are recognized by IHL in conjunction with port candidates.

Table 5.29. Data provider look-up keys

Key Element Type Value Type Description
NODE_DP_KEY Node PortCandidateSet For each node a PortCandidateSet object encoding the set of allowed anchor locations for edges.
SOURCE_PCLIST_DPKEY Edge Collection For each edge a java.util.Collection of PortCandidate objects that encode the subset of desired anchor locations where the source port likes to connect to.
TARGET_PCLIST_DPKEY Edge Collection For each edge a java.util.Collection of PortCandidate objects that encode the subset of desired anchor locations where the target port likes to connect to.

Edge/Port Grouping (Bus-style Edge Routing)

Incremental hierarchical layout supports the notion of grouping together multiple edge ends to be anchored at the same location. This can be specified for both source ends and target ends. The general setup for edge groups is described in the section called “Edge/Port Grouping (Bus-Style Edge Routing)”.

Edges that belong to the same group at a specific end will additionally be routed in bus-style, i.e., if multiple edges start or end at nodes in the same layer and belong to the same group, even if they do not share the same node at their ends, they will be merged together in a bus structure in that layer.

IncrementalHierarchicLayouter supports both automatic and custom edge grouping.

Automatic Edge Grouping

Automatic edge grouping is disabled by default. It can be enabled using the following method:

void setAutomaticEdgeGroupingEnabled(boolean automaticEdgeGroupingEnabled)
Description Enables/Disables automatic edge grouping

Automatic edge grouping tries to group as many edges as possible, without changing the semantic of the graph. Edges are grouped either at a common source node or at a common target node. They won't be grouped, if grouping would lead to ambiguous paths. The effect of automatic edge grouping is shown in Figure 5.50, “Automatic Edge Grouping”. Note that edges with a common source are grouped as well as edges with a common target. Also note that the outgoing edges at node B are not grouped, because grouping at this node would mock a connection between A and D.

Figure 5.50. Automatic Edge Grouping

Automatic Edge Grouping Disabled
Automatic Edge Grouping Enabled
Automatic edge grouping disabled. Automatic edge grouping enabled.

Edges are only grouped at their source (target) node if they do not have a port constraint/port candidates at this node. Furthermore, edges cannot be grouped at a node with specified port candidates. If automatic edge grouping is enabled, user specified edge groups are ignored.

Custom Edge Grouping

If more flexibility is needed, edges can be grouped by specifying edge groups using data providers as described in the section called “Edge/Port Grouping (Bus-Style Edge Routing)”.

The general rule describing how bus structures are created can be summarized as follows: edge paths are merged from both sides, source and target, beginning as close to the respective edge ends as possible. From this rule, the following consequences arise:

  • edges that start at a common node and belong to the same source group are merged together such that they are anchored at the same location; the same holds similarly for edges ending at a common node that belong to the same target group
  • edges that start at nodes in different layers, but belong to the same source group are merged together in a cascading manner; the same holds similarly for edges ending at nodes in different layers, but belong to the same target group

From this rule it is also clear that edges being grouped at both ends will result in edge routings where the paths are merged to the maximum extent possible.

Table 5.30, “Edge group configurations and resulting bus-style edge routings” presents some edge routing results (in the figures to the left) and describes their actual source and target group setup. Note that the figures to the right depict the edge routing that results when both the edges are reversed and the source and target groups are exchanged.

Table 5.30. Edge group configurations and resulting bus-style edge routings

Figure Description Figure
Edge grouping example.
Edges starting at "A" nodes are grouped at their source side using a common "A" ID (for example). Likewise, edges starting at "B" nodes are grouped at their source side using a common "B" ID. Additionally, at their target side the edges are grouped such that all "A" edges share a common ID and all "B" edges share a common ID.
Edge grouping example.
Edge grouping example.
Edges starting at the upper nodes are grouped at their target side using a common "A" ID (for example). Likewise, edges starting at the middle nodes are grouped at their target side using a common "B" ID.
Edge grouping example.
Edge grouping example.
All edges are grouped at their target side using a common ID.
Edge grouping example.
Edge grouping example.
All edges are grouped at their source side using a common ID. Additionally, at their target side the edges are also grouped such that they share a common ID.
Edge grouping example.
Edge grouping example.
Edges are grouped at their source side using a common ID.
Edge grouping example.

The following table lists the data provider look-up keys that are recognized by IHL in conjunction with edge/port grouping (bus-style edge routing).

Table 5.31. Data provider look-up keys

Key Element Type Value Type Description
SOURCE_GROUPID_KEY Edge Object For each edge an arbitrary Object indicating the group its source end is affiliated with.
TARGET_GROUPID_KEY Edge Object For each edge an arbitrary Object indicating the group its target end is affiliated with.

Node Halos

IncrementalHierarchicLayouter by default supports node halos as soon as they are declared. During layout calculation, it takes any specified additional paddings around nodes into consideration and keeps the areas clear of other graph elements. The labels of a node and its adjacent edge segments are not affected and can still be placed inside or cross the node's halo.

The following table lists the data provider look-up keys that are recognized by IncrementalHierarchicLayouter in conjunction with node halo support.

Table 5.32. Data provider look-up keys

Key Element Type Value Type Description
NODE_HALO_DPKEY Node NodeHalo A NodeHalo object that specifies the halo sizes at each side of a node.

Layout of Grouped Graphs

IncrementalHierarchicLayouter supports different layer assignment policies for graphs with grouped nodes. The layering for both incremental as well as non-incremental layout can be determined in either of two ways:

  • flat, i.e., nodes are assigned to layers regardless of nesting level within group nodes
  • recursively, i.e., layer assignment is computed from the most nested group up to the nodes in the root graph

Figure 5.51, “Flat vs. recursive layer assignment” compares the layer assignment policies. When layer assignment is done flat, the group nodes of a graph and their adjacent edges are ignored. In particular, this means that the layering of grouped nodes can be influenced by nodes outside of the group node. In constrast, when using recursive layer assignment, grouped nodes are processed without interference from nodes outside of their group node.

Figure 5.51. Flat vs. recursive layer assignment

Flat vs. recursive layer assignment
Flat vs. recursive layer assignment
Flat vs. recursive layer assignment
Flat layer assignment policy where group nodes and their adjacent edges are ignored. Recursive layer assignment policy. Recursive layer assignment policy with compaction enabled.

Recursive processing of the grouped nodes is the default behavior. Example 5.31, “Setting up flat layer assignment” shows how to set up flat layer assignment with IncrementalHierarchicLayouter.

Example 5.31. Setting up flat layer assignment

// Set up IHL for grouped graphs.
IncrementalHierarchicLayouter ihl = new IncrementalHierarchicLayouter();
ihl.setRecursiveGroupLayeringEnabled(false);

Recursive layer assignment optionally uses a compaction step where empty layers next to group nodes are filled with nodes from layers below these group nodes. When compaction is disabled, an alignment policy is used to specify where "ordinary" nodes that are in a layer with group nodes are placed relative to these group nodes. These options can be configured using the following methods:

void setGroupCompactionEnabled(boolean groupCompactionEnabled)
Description Layer compaction
void setGroupAlignmentPolicy(byte groupAlignmentPolicy)
Description Group node-relative alignment policy

When calculating a layout for a grouped graph, IncrementalHierarchicLayouter also supports minimum size constraints for group nodes. A minimum size constraint can be conveniently used in order for the group node to accommodate for the size of its label. If a data provider is registered with the graph using the look-up key MINIMUM_NODE_SIZE_DPKEY, any minimum size constraints for group nodes held by this data provider are respected by default.

IncrementalHierarchicLayouter's support for grouped graphs currently does not include the following features for edge ends that directly connect to group nodes: strong port constraints, strong (fixed) port candidates, and edge/port grouping (bus-style edge routing).

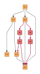
IncrementalHierarchicLayouter's support for incrementally calculating layouts of grouped graphs enables smooth transitions when realizing collapsing and expanding of group nodes. Figure 5.52, “Incremental hierarchical layout when group nodes are collapsed and expanded” presents the results of both these operations. The resulting folder node and group node, respectively, is incrementally inserted into the existing layout.

Figure 5.52. Incremental hierarchical layout when group nodes are collapsed and expanded

Incremental hierarchical layout when group nodes are collapsed and expanded
Incremental hierarchical layout when group nodes are collapsed and expanded
Incremental hierarchical layout when group nodes are collapsed and expanded
Original hierarchical layout with group nodes. Collapsed group node incrementally inserted into the layout. Previously collapsed group node expanded and incrementally inserted.

Incremental hierarchical layout of graphs with grouped nodes is demonstrated in the tutorial demo application IncrementalHierarchicGroupDemo.java.

Recursive Edges Routing

To obtain more stable results when collapsing and expanding group nodes in interactive scenarios with incremental mode enabled, IncrementalHierarchicLayouter supports different routing styles for so-called recursive edges.

Recursive edges are considered those that connect nodes which belong to different group nodes. These edges are allowed to leave/enter the group nodes only at the top side or bottom side.

The setRecursiveEdgeStyle(byte) method in class EdgeLayoutDescriptor sets the routing style for a given recursive edge. The following routing styles are available:

RECURSIVE_EDGE_STYLE_DIRECTED
Description At their source end, recursive edges leave the containing group node(s) at the bottom side; at their target end, they enter the containing group node(s) at the top side
RECURSIVE_EDGE_STYLE_UNDIRECTED
Description At both ends, recursive edges leave/enter the containing group node(s) at the bottom side or top side.
RECURSIVE_EDGE_STYLE_OFF
Description Recursive edges aren't routed specifically. At both ends, they can leave/enter the containing group node(s) at the left side or right side in order to connect as directly as possible.

The following figure illustrates the different routing styles for recursive edges:

Figure 5.53. Recursive edges routing styles

Recursive edges routing styles
Recursive edges routing styles
Recursive edges routing styles
Recursive edges routing style directed, ... ... undirected, ... ... and off.

Recursive edges provide more stable results when collapsing/expanding group nodes in incremental mode since their leaving/entering sides in group nodes remain unchanged.

To further improve the results and preserve as much as possible from the existing drawing, the following can be applied in combination with recursive edges:

  • Recursive group layering should be enabled.
  • When expanding/collapsing a group node, the original size of the group (before expanding/collapsing) should be assigned using a DataProvider registered with the graph with ALTERNATIVE_GROUP_BOUNDS_DPKEY key.
  • The alternative path of specific edges should be assigned to a DataProvider registered with the graph with ALTERNATIVE_EDGE_PATH_DPKEY key as follows:
    • Collapsing: For edges that are incident to the group node itself and edges for which one of source or target is inside the group node, the path before collapsing the group node has to be assigned as the alternative path. If source and target are either both inside or both outside the group node, no alternative path is required.
    • Expanding: For edges that are incident to the collapsed group node, the path before expanding the group node has to be assigned as the alternative path.
  • Folder nodes, i.e., collapsed group nodes, should also be marked using a DataProvider registered with the graph with key FOLDER_NODES_DPKEY.

Note that the following features are not supported for recursive edges:

Tutorial demo application IncrementalHierarchicFoldExpandDemo.java shows how to set up and use the recursive edges routing styles to get stable edge routings when interactively collapsing and expanding group nodes in a diagram.

The following table lists the data provider look-up keys that are recognized by IHL in conjunction with grouped graphs.

Table 5.33. Data provider look-up keys

Key Element Type Value Type Description
GROUP_DPKEY Node boolean For each node a boolean value indicating whether it is a group node or not.
NODE_ID_DPKEY Node Object For each node an Object that serves as a unique ID.
PARENT_NODE_ID_DPKEY Node Object For each node an Object indicating the group node it belongs to. The Object matches the unique ID of a group node that is in the same graph.
MINIMUM_NODE_SIZE_DPKEY Node YDimension For each group node a YDimension object that specifies the group node's minimum size constraint.

Setup of a grouped graph's hierarchy of nodes and using the grouping keys (GROUP_DPKEY, NODE_ID_DPKEY, and PARENT_NODE_ID_DPKEY) is described in detail in the section called “Setup for Layout”.

Related Classes

Classes NodeLayoutDescriptor and EdgeLayoutDescriptor (together with class RoutingStyle) can be used to configure node-related and edge-related layout and drawing options. For example, the following options can be set for nodes and edges, respectively:

  • relative alignment of nodes within their layer
  • preferred minimum distance from obstacles (both nodes and edges)
  • different routing styles for edges
  • minimum length of first and last edge segment, respectively
  • reference point and port assignment policies for nodes when grid placement is enabled

The NodeLayoutDescriptor provides a number of options for node configuration:

Layer Alignment
API
void setLayerAlignment(double alignment)
Description Determines the alignment of a node within its layer. Values can be set from 0.0 (top) to 1.0 (bottom). See also Figure 5.54, “Node-related layout and drawing options”.
Minimum Layer Height
API
void setMinimumLayerHeight(double height)
Description Determines the minimum height of the layer this node is assigned to. See also Figure 5.54, “Node-related layout and drawing options”.
Minimum Distance from Obstacles
API
void setMinimumDistance(double distance)
Description Determines the preferred minimum distance.
Node Label Mode
API
void setNodeLabelMode(byte mode)
Description Determines the consideration of node labels during the layout. See also Figure 5.55, “Node label modes”.

For grid placement support in particular, these options are available:

Grid Reference Point
API
void setGridReference(YPoint referencePoint)
Description Determines a node's reference point, which shall be placed on grid coordinates. By default, a node's center is used as its reference point.
Port Assignment Policy
API
void setPortAssignment(byte portAssignment)
Description Sets the port assignment policy for a given node. The policy determines how the edges at each side of the node will be distributed along the respective side.

A NodeLayoutDescriptor instance can be specified individually for single nodes by means of a data provider that is bound to the graph. The data provider is expected to be registered with the graph using key NODE_LAYOUT_DESCRIPTOR_DPKEY. In the absence of an individual descriptor for a node, the default NodeLayoutDescriptor instance that is registered with IncrementalHierarchicLayouter will be used.

Figure 5.54, “Node-related layout and drawing options” illustrates layer-related options from NodeLayoutDescriptor. In the left figure, the second and third node are aligned topmost in their layer. In the right figure, the same nodes are still aligned topmost, however the minimum layer height has been set to a value larger than the biggest node.

Figure 5.54. Node-related layout and drawing options

Layer alignment.
Layer alignment in conjunction with minimum layer height.
Layer alignment; the second and third node are aligned topmost. Same layer alignment in conjunction with a minimum layer height that is larger than the biggest node.

Figure 5.55, “Node label modes” illustrates the results for different node label modes when calculating a hierarchical layout. The figures show, from left to right, a long node label and how it is considered for the layout using different settings available with NodeLayoutDescriptor. Note that the second figure shows the result with NodeLayoutDescriptor's default setting.

Figure 5.55. Node label modes

Original graph with long node label.
Hierarchical layout with long node label considered.
Hierarchical layout with long node label considered for self-loop also.
Node labels never considered,... considered (the default), ... ...considered for self-loops also.

The edge layout can be configured using class EdgeLayoutDescriptor together with class RoutingStyle:

Routing Style
API
void setRoutingStyle(RoutingStyle routingStyle)
Description Configures the routing style for different edge types.
Minimum Length of First and Last Segment
API
void setMinimumFirstSegmentLength(double length)
void setMinimumLastSegmentLength(double length)
Description Determine the minimum length of the first (at the source) and last (at the target) edge segment.
Minimum Length and Slope (Polyline Routing)
API
void setMinimumLength(double length)
void setMinimumSlope(double slope)
Description Determine the minimum length and the minimum slope of the edge's mid segments in a vertical layout. Applies only to polyline routing style.
Minimum Distance to Obstacles
API
void setMinimumDistance(double distance)
Description Determines the preferred minimum distance to obstacles.
Recursive Edges Routing
API
void setRecursiveEdgeStyle(int edgeStyle)
Description Configures how edges connecting nodes that belong to different groups are routed.

An EdgeLayoutDescriptor instance can be specified individually for single edges by means of a data provider that is bound to the graph. The data provider is expected to be registered with the graph using key EDGE_LAYOUT_DESCRIPTOR_DPKEY. In the absence of an individual descriptor for an edge, the default EdgeLayoutDescriptor instance that is registered with IncrementalHierarchicLayouter will be used.

In conjunction with EdgeLayoutDescriptor, class RoutingStyle enables configuration of different edge routing styles for different edge types like backloop edges, same-layer edges, self-loops, and edges in edge groups. By default, the routing style that is given at creation time of a RoutingStyle instance is set uniformly for all edge types. The following methods can be used to set different styles:

Figure 5.56, “Edge routing options” illustrates routing style-related options from EdgeLayoutDescriptor. The figures show the different routing style options available.

Figure 5.56. Edge routing options

Polyline edge routing.
Orthogonal edge routing.
Octilinear edge routing.
Polyline edge routing. Orthogonal edge routing (with rounded bends). Octilinear edge routing.

Figure 5.57, “Edge-related layout and drawing options” illustrates different minimum lengths settings for the first and last edge segments when calculating a hierarchical layout.

Figure 5.57. Edge-related layout and drawing options

0px first/last edge segment length.
15px first/last edge segment length.
First and last segment length: 0px First and last segment length: 15px

Polyline edge routing style is the default setting that is used by the default EdgeLayoutDescriptor for all edge types.

The following table lists the data provider look-up keys that are recognized by IHL in conjunction with individual layout settings for nodes and edges.

Table 5.34. Data provider look-up keys

Key Element Type Value Type Description
NODE_LAYOUT_DESCRIPTOR_DPKEY Node NodeLayoutDescriptor For each node a NodeLayoutDescriptor object that configures a number of node-related options.
EDGE_LAYOUT_DESCRIPTOR_DPKEY Edge EdgeLayoutDescriptor For each edge an EdgeLayoutDescriptor object that configures a number of edge-related options.

Class SimplexNodePlacer

Class SimplexNodePlacer is the default NodePlacer implementation that is used by IHL during the drawing phase. It can be retrieved via the getNodePlacer() method.

Most notably, SimplexNodePlacer provides support for symmetric placement of nodes where possible.

boolean isBaryCenterModeEnabled()
void setBaryCenterModeEnabled(boolean enabled)
Description Enables drawing phase support for symmetric placement of nodes.

SimplexNodePlacer also provides an optional post-processing step that tries to remove bends from edges in order to straighten their paths.

Additionally, it makes available drawing phase options that can be used in conjunction with grouped graphs.

int getGroupCompactionStrategy()
void setGroupCompactionStrategy(int strategy)
Description Allows to control whether the horizontal space occupied by group node content should be compacted.

The following setter can be used to place adjacent edge labels in a compact, stacked style:

void setLabelCompactionEnabled(boolean enabled)
Description Determines whether adjacent edge labels shall be placed in a compact manner.

Applicable Layout Stages

Table 5.35, “Layout Stages” lists layout stages that can be used to enhance the layout process of class IncrementalHierarchicLayouter. Class IncrementalHierarchicLayoutModule.java demonstrates how to set up and use these layout stages in conjunction with IHL.

Table 5.35. Layout Stages

Classname Description
TopLevelGroupToSwimlaneStage Enables convenient swimlane setup using plain group nodes instead of a partition grid.

TopLevelGroupToSwimlaneStage is an alternative to explicitly setting up swimlanes using a partition grid as described in the section called “Swimlane Layout”. It presents a convenient means for specifying the setup for a swimlane layout using plain group nodes.

Each top-level group node is interpreted as holding the contents for one swimlane, i.e., all nodes within such a group node are assigned to the same lane when calculating the swimlane layout. Naturally, this approach supports only swimlane setups where neither group nodes nor folder nodes stretch across multiple lanes.

Usage of this layout stage can be observed in IncrementalHierarchicLayoutModule.java.

Swimlane Layout

IncrementalHierarchicLayouter provides support for so-called swimlane layout. This type of layout uses the notion of adjacent lanes into which nodes are placed. The lanes are oriented with the general layout direction, i.e., perpendicular to the layers of the hierarchical layout. Each normal node of the graph is placed into a single lane, group nodes in a grouped graph are allowed to stretch across multiple lanes such that they encompass all their contained nodes.

Figure 5.58, “Swimlanes” shows a resulting swimlane layout as calculated by IncrementalHierarchicLayouter where the layout direction is from left to right. The visual representation of the swimlanes is rendered by a TableGroupNodeRealizer.

Figure 5.58. Swimlanes

Swimlane layout
Left-to-right swimlane layout with group nodes.

Swimlane layout is a special case in the more general concept of so-called partitioned layout support. The lanes present a one-dimensional partition within which the nodes of a diagram are organized. The setup for partitioned layout is presented in the section called “Partition Grid”.

IncrementalHierarchicLayouter's support for partitioned layout covers the configuration options below for normal nodes and group nodes. Depending on the kind of partition cell ID that is associated with a normal node, the layout algorithm will place the normal node:

  • none in a suitable partition cell of the partition grid structure
  • Single cell in the specified partition cell of the partition grid structure
  • Range of cells into one of the partition cells of the specified range

Depending on the kind of the partition cell ID that is associated with a group node, the layout algorithm will place the group node such that:

  • none it encompasses all its contained nodes. If they are in multiple cells, the group node stretches across these cells.
  • Single cell its boundary corresponds to the bounds of the specified partition cell, independent of the cells of its contained nodes
  • Range of cells its boundary corresponds to the smallest rectangle encompassing the partition cells of the specified range, independent of the cells of its contained nodes

Important

When using the "Single cell" and "Range of cells" partition cell ID configurations for a group node, all its contained nodes need to have corresponding partition cell ID configurations (i.e., the cell ID of the group node isn't automatically assigned to its content).

The following table lists the data provider look-up keys that are recognized by IHL in conjunction with swimlane/partitioned layout.

Table 5.36. Data provider look-up keys

Key Element Type Value Type Description
PARTITION_GRID_DPKEY Graph PartitionGrid A PartitionGrid object that specifies the actual partition grid, including number of rows and columns, their respective heights and widths, and their insets.
PARTITION_CELL_DPKEY Node PartitionCellId For each node a PartitionCellId object that determines the cell in the partition grid it belongs to.

Tutorial Demo Code

Using both the incremental as well as the non-incremental layout functionality of class IncrementalHierarchicLayouter is presented in detail in the following tutorial demo applications:

Swimlane layout in particular is demonstrated in the following tutorial demo applications:

Layout module IncrementalHierarchicLayoutModule.java shows configuration aspects of class IncrementalHierarchicLayouter and can also be used to interactively explore the effects of different settings.

Supplemental Layout Data

Class IncrementalHierarchicLayouter knows a number of data provider keys which are used to retrieve supplemental layout data for a graph's elements. The data is bound to the graph by means of a data provider which is registered using a given look-up key. Table 5.37, “Data provider look-up keys” lists all look-up keys that IncrementalHierarchicLayouter tests during the layout process in order to query supplemental data.

Binding supplemental layout data to a graph is described in the section called “Providing Supplemental Layout Data”.

Table 5.37. Data provider look-up keys

Key Element Type Value Type Description
INCREMENTAL_HINTS_DPKEY Node, Edge Object For each incrementally added node or edge a hint object that marks the respective graph element to be inserted into the hierarchical layout in an optimal manner. The hint object is created by a hint factory, like, e.g., the hint factory that is returned by method createIncrementalHintsFactory().
NODE_LAYOUT_DESCRIPTOR_DPKEY Node NodeLayoutDescriptor For each node a NodeLayoutDescriptor object that configures a number of node-related options.
EDGE_LAYOUT_DESCRIPTOR_DPKEY Edge EdgeLayoutDescriptor For each edge an EdgeLayoutDescriptor object that configures a number of edge-related options.
PARTITION_GRID_DPKEY Graph PartitionGrid A PartitionGrid object that specifies the actual partition grid, including number of rows and columns, their respective heights and widths, and their insets.
PARTITION_CELL_DPKEY Node PartitionCellId For each node a PartitionCellId object that determines the cell in the partition grid it belongs to.
SOURCE_GROUPID_KEY Edge Object For each edge an arbitrary Object indicating the group its source end is affiliated with.
TARGET_GROUPID_KEY Edge Object For each edge an arbitrary Object indicating the group its target end is affiliated with.
SOURCE_PORT_CONSTRAINT_KEY Edge PortConstraint For each edge a PortConstraint object encoding its source end's port constraint.
TARGET_PORT_CONSTRAINT_KEY Edge PortConstraint For each edge a PortConstraint object encoding its target end's port constraint.
NODE_DP_KEY Node PortCandidateSet For each node a PortCandidateSet object encoding the set of allowed anchor locations for edges.
SOURCE_PCLIST_DPKEY Edge Collection For each edge a java.util.Collection of PortCandidate objects that encode the subset of desired anchor locations where the source port likes to connect to.
TARGET_PCLIST_DPKEY Edge Collection For each edge a java.util.Collection of PortCandidate objects that encode the subset of desired anchor locations where the target port likes to connect to.
GROUP_DPKEY Node boolean For each node a boolean value indicating whether it is a group node or not.
NODE_ID_DPKEY Node Object For each node an Object that serves as a unique ID.
PARENT_NODE_ID_DPKEY Node Object For each node an Object indicating the group node it belongs to. The Object matches the unique ID of a group node that is in the same graph.
MINIMUM_NODE_SIZE_DPKEY Node YDimension For each group node a YDimension object that specifies the group node's minimum size constraint.
LAYER_VALUE_HOLDER_DPKEY Node IntValueHolder For each node an IntValueHolder implementation that is used by the layout algorithm to return the index of the actual layer a node has been assigned to.
CRITICAL_EDGE_DPKEY Edge int For each edge of a critical path a positive, non-zero integral value that indicates the priority of the edge/the critical path.
NODE_HALO_DPKEY Node NodeHalo A NodeHalo object that specifies the halo sizes at each side of a node.
ABORT_HANDLER_DPKEY Graph AbortHandler An AbortHandler instance that will be queried by the layout algorithm to determine whether layout calculation shall be terminated.

Setup of a grouped graph's hierarchy of nodes and using the grouping keys (GROUP_DPKEY, NODE_ID_DPKEY, and PARENT_NODE_ID_DPKEY) is described in detail in the section called “Setup for Layout”.

Related Layout Algorithms

The yFiles diagramming library includes other layout algorithms that offer similar layout results compared to IHL.

  • For the hierarchical layout style, there are two legacy layout algorithms, namely, classes HierarchicLayouter (HL) and HierarchicGroupLayouter (HGL) (where the latter is a subclass of the former to handle grouped graphs specifically). IHL supersedes both these classes and adds additional features like sophisticated swimlane layout support or incremental layout support.
  • Among the tree layout algorithms, classes GenericTreeLayouter and TreeLayouter also generate drawings that present the flow in a directed graph. While they can be used for general graphs, too (needs some setup), they are best suited for actual "trees" (hence their name), a special subset of the set of directed acyclic graphs. Both these classes can be set up so that their layout results show layers similar to hierarchical layouts calculated by IHL. Note that they also support orthogonal as well as polyline edge routing.
  • Class DirectedOrthogonalLayouter, which is part of the orthogonal layout style classes, can be used to generate drawings that emphasize the common direction of a specific subset of edges in a directed graph. The direction of the remaining set of edges can be arbitrary in such drawings. Most notably, this algorithm can be used to generate UML-style class diagrams where the inheritance relation among classes is of primary interest.